O próximo Problema
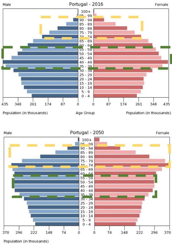
Já são entre 25 e 30 mil os idosos em lares ilegais. Muitos milhares sobrevivem em condições dignas devido ao esforço e sacrifício de cuidadores informais. Milhares de pessoas abdicam das suas carreiras, do seu lazer, para garantir que idosos sem condições para ir para um lar têm os cuidados necessários. Estamos em 2018. A maioria das pessoas que hoje têm mais de 80 anos tiveram 3 filhos ou mais e quando nasceram a sua esprança média de vida estava abaixo dos 60 anos. Por isso, a pirâmide etária ainda dá juz ao nome se olharmos da faixa dos 40 anos para cima. Mas andemos para a frente 30 anos (nem seria preciso tanto), quando a geração dos pais que tiveram um ou dois filhos e que viverá até aos 90 anos em média precisar de cuidados. Este será O problema daqui a 10 ou 20 anos. Como de costume, só iremos olhar para ele quando for tarde de mais (e já não falta muito). Entretanto, políticos e comentadores com vontade de se mostrarem muito sofisticados, em vez de olharem para os problemas reais andam muito preocupados com os “riscos” da automação, da falta de trabalho e a falar em RBIs quando nem dinheiro para tratar estas pessoas de forma decente haverá. Preparem-se.

A população idosa de hoje teve uma educação Fundamentalmente Cristã, não esperem outra coisa que não seja o desprezo dos comunas.
GostarGostar
Eutanásia voluntária à força.
Welcome paradise by left side.
GostarLiked by 1 person
Somado a isto temos uma Segurança Social em processo de falência — monetária, mas também material a vender propriedade com elevados níveis de rentabilidade ao desbarato, e moral ao impedir por medo que se liberalize com urgência o modelo de pensões no país — que não garantirá nem de longe os mesmos níveis de acesso a reformas que os idosos têm hoje — e que já são absolutamente miseráveis.
O dinheiro de um pensionista, até para aceder a um lar ilegal, dificilmente chegará. Mas o socialismo é isto mesmo; a progressiva deterioração do nível de vida das suas populações em nome de uma visão utópica, que consideram humanista mas que não passa de Má Política de Estado. Amarram cegamente toda a sua ideologia a princípios infantis de igualdade, que depois esbarram na natureza humana. O resultado é que nem as suas políticas funcionam, nem deixam outras avançar.
Por mim, tudo tenho feito para impedir uma velhice desprovida de dignidade após tantos anos a trabalhar. Porque trabalho lá fora, já há muito optei por deixar de pagar impostos em Portugal e assim também consigo garantir melhores condições de reforma a partir do país de acolhimento. O salário também me permitiu manter uma conta poupança reforma aqui em Portugal, o que irá ajudar um pouco mais. Mas precisamente porque não temos liberalização do sistema nacional de pensões, não se pode esperar muito do sector privado neste domínio e os benefícios são mínimos. Ainda assim vale a pena.
Mas o que dizer da esmagadora maioria da população portuguesa para quem o domicilio fiscal é este país de trampa em que vivemos e cujo salário médio não permite de modo algum pagar a SS que sabemos estar cada vez pior e ainda ingressar num plano privado de reforma?
GostarLiked by 1 person
Há muito que digo que a bomba demográfica irá arrasar Portugal. Não esquecer que mais de 50 mil Portugueses, jovens e bem formados, emigram todos os anos. Quem hoje se lambuza no pote do OE que aproveite enquanto é tempo, virá o dia em que se lambuzará na merda que criou. Diz que há uns mouros a sul do mediterrâneo que querem ocupar novamente a península…
GostarLiked by 1 person
O fdp do Pedro Sánchez já lhes disse que podem vir.
GostarGostar
O P Sanchez parece que já começou a torcer a oelha, conforme diários de España.
Também sua mulher foi nomeada para um tacho de uma ‘coisa’ que está para se fazer, em relação com o azuis-escuros.
GostarGostar
Com um bocado de sorte ainda lhe vamos ouvir pedir desculpa pela Reconquista.
GostarGostar
Calma ! O MCThomaz e o AC-DC resolvem (qualquer problema).
GostarGostar
MJRB,
Acho que não foi explícito que chegue: O MCThomaz e o AC-DC resolvem (qualquer problema)… DELES!
Pois os nossos, para eles não são problemas, como se vê pelo “sucesso” de Monchique, por exemplo
GostarGostar
Isso é verdade, mas The Mole e poucas pessoas sabem que “ambos os dois” (o primeiro e o terceiro alto magistrados da nação) estão sempre, dia e noite a pensar no nosso bem-estar. O segundo mais alto magistrado da nação está-se cagando e dorme demais.
No nosso futuro o MCT tem fé; o AC-DC tem fé — ambos têm fezes.
GostarGostar
Se o MJRB o diz, então hoje já vou dormir mais descansado… (espero que não seja para acordar para “amanhãs que cantam!)
GostarGostar
The Mole,
Sim, pode dormir sempre descansado. As ininterruptas fezes do MCT e do AC-DC no nosso futuro protegem-nos. “O Sol brilhará para todos nós” com mais fezes, as da Catarina e do Jerónimo.
GostarGostar
Calma, digo eu! Então não viram como em três dias de canícula bateram a bota mais 500 tugas do que o número normal para a época? Um bocadinho mais de aquecimento gobal e a implementação das 30 horas no SNS, e está o problema demográfico resolvido. Até já ouço o Costa a anunciar mais um sucesso…
GostarLiked by 1 person
Na próxima quinta-feira, na reunião semanal entre o AC-DC e o MCT, todos os recentes problemas serão conversados e o PR dará um murro na mesa — para matar uma mosca que incomodará tão amena e concordante conversa.
GostarLiked by 1 person
nem mais. gente sensata a governar e já estariam a converter escolas vazias em lares públicos. pq com a mediana de pensões nos 500 euros , vai ser bonito, vai.
GostarGostar
No sociedade socialista onde vivemos logo mentalmente dependente do estado(religião) e dos jornalistas(padres), o corolário natural e óbvio é que os filhos têm de ser programados a partir de um Ministério da Família.
Assim como milhares de professores são distribuídos por milhares de escolas num programa centralizado também a criação dos utentes dessas escolas também têm de ser resultado de um programa centralizado.
Admirável Mundo Novo.
GostarGostar
Tenho alguma dificuldade em encaixar que hoje se consiga prever a natalidade até 2050. Qual é a razão para o volume de nascimentos ir reduzindo entre 2030 e 2035? Ou 2040 e 2045?
É evidente que temos um problema global com os babyboomers mas este o tempo resolverá em dez quinze anos. Até lá vamos ter pressão inflacionista (idosos a gastar dinheiro que não é deles) colmatada por aumento de impostos com impacto na taxa de natalidade, mas cada vez menor, a medida que vão morrendo.
GostarGostar